0011-1ACh1. Coefficients thermoélastiques

Les trois variables thermodynamiques pression P, volume V et température T d’un système binaire sont liées par une équation d’état que l’on peut écrire sous la forme:

F(P, V, T) = 0

L’une quelconque de ces trois variables peut donc être considérée comme une fonction des deux autres. Si on se donne V et T, P est déterminé par : P = P(V, T) ; si P et T sont données, V = V(P, T) ; si P et V sont données, cette fois c’est T qui est déterminé par : T = T(P, V).

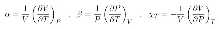
On définit les coefficients thermoélastiques :

1-) Nommer ces coefficients et préciser leurs caractères extensif ou intensif.

2-) Déterminer ces 3 coefficients pour un gaz parfait :

3-) Déterminer ces 3 coefficients pour une mole de gaz réel :

4-) Montrer que la relation liant ces coefficients thermoélastiques peut pour un gaz parfait, se mettre sous la forme :

2 commentaires sur « 0011-1ACh1. Coefficients thermoélastiques »

Laisser un commentaire