Un peu de culture à propos des gaz réels.

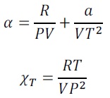
L’étude expérimentale d’un gaz réel a permis de déterminer ses coefficients thermoélastiques:

Où a est une constante.
1-) Rappeler les expressions de ces coefficients thermoélastiques
2-) Établir l’équation d’état de ce gaz réel

nice
J’aimeJ’aime