0084-3ACh4. Refroidissement d’un composant électronique

On se propose d’étudier le refroidissement d’un composant électronique fonctionnant en régime permanent, une surchauffe trop importante liée à l’effet Joule pouvant entraîner la détérioration du composant. En général, un composant électronique est constitué d’un support en résine (A), d’épaisseur eA et de conductivité thermique λA, sur lequel est déposé un substrat d’épaisseur négligeable et dans lequel est noyé le conducteur. Le substrat est recouvert d’une plaquette métallique, d’épaisseur eB et de conductivité thermique λB. Pour remédier à l’échauffement du composant, on rajoute sur la plaquette métallique n ailettes. Il s’agit de fine feuilles métalliques verticales, de même nature que la plaquette, destinées à accroître le refroidissement (voir figure ci-dessous).

Fig.: Refroidissement d’un composant électronique à n ailettes

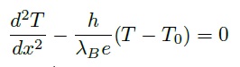
On notera Tp la température de surface externe de la plaquette soit, par conséquent, la température de surface à la base des ailettes de hauteur b, de longueur L et d’épaisseur 2e. On montre aisément que le champ de température T(x) au sein d’une ailette obéit à l’équation différentielle suivante :

1-) Faire le changement de variable adéquat et montrer que cette dernière équation peut se mettre sous la forme :

2-) Montrer qu’une des  solutions à cette équation peut se mettre sous la forme :

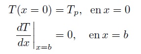
3-) Déterminer les paramètres  A et B puis l’expression analytique de θ( x ) et en déduire  T(x). On rappelle que les conditions aux limites du problème correspondant à la variable T(x) sont les suivantes :

On supposera dans la suite de cet exercice que l’ailette est infinie.

4-) Pour cette nouvelle condition aux limites, déterminer la nouvelle expression de θ( x ) puis en déduire celle de T(x).

5-) Déterminer le flux thermique Φa, dissipé par une seule ailette en x = 0 (surface externe de la plaquette métallique). En déduire le flux Φna dissipé par les n ailettes en x = 0.

7-) On s’intéresse toujours ici au flux dissipé par la surface externe de la plaquette métallique, constituée de n ailettes et des surfaces libres qui s’alternent. On rappelle que deux ailettes consécutives sont séparées entre elles par une surface libre où la chaleur est dissipée par convection.

  • (a)-Déterminer le flux Φnb dissipé par l’ensemble des surfaces libres en x = 0.
  • (b)-Déduire alors le flux de chaleur Φplaquette dissipé par l’intégralité de la plaque métallique en x = 0.

7 commentaires sur « 0084-3ACh4. Refroidissement d’un composant électronique »

Laisser un commentaire