0076-3ACh3. Épaisseur optimale d’une gaine cylindrique*

On considère un câble cylindrique constitué par un conducteur électrique en cuivre entouré d’une gaine de caoutchouc (rayon extérieur R1 et rayon intérieur R2). On se fixe les conditions de service suivantes :

  • la température du cuivre, supposée uniforme, ne doit pas dépasser T2 = 100°C,
  • la surface extérieure de la gaine est, en régime permanent, à la température T1 = 20°C,
  • l’air ambiant est à la température T0 = 15°C.
Fig.: Câble électrique cylindrique

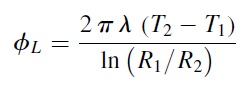
1-) Montrer que la puissance linéique maximale dissipée par effet Joule et transmis dans la gaine de caoutchouc peut se mettre sous la forme :

2-) Déterminer l’intensité maximale du courant pouvant traverser le conducteur. AN : R2 = 5 mm ; R1 = 10 mm ; λcaoutchouc = 1,3.10-3 W.cm-1.°C-1 ; Résistivité électrique du cuivre ρ = 1,6.10-6 Ω.cm.

Les échanges entre la surface de la gaine et l’air ambiant peuvent être décrits à l’aide d’un coefficient global h, défini par unité de surface, qui tient compte tout à la fois des effets de convection et de rayonnement. La résistance thermique globale étant définie par la relation : R = (T2 – T0)/ΦL

3-) Donner l’expression de R en fonction des caractéristiques thermiques et géométriques du problème

4-) Montrer que lorsque  ΦL, λ, R2 et h restent constants, la fonction R(R1) passe par un minimum local. Commenter les conséquences de cette évolution. On donne la valeur minimum pour h = 10 W.m-2.

6 commentaires sur « 0076-3ACh3. Épaisseur optimale d’une gaine cylindrique* »

Laisser un commentaire