Note Culturelle :
Le Four Solaire d’Odeillo est un laboratoire de recherche du CNRS spécialisé dans différentes études thermiques à haute température : les systèmes caloporteurs, la conversion d’énergie et le comportement des matériaux dans des environnements extrêmes. Les domaines de recherches concernés par ces études sont étendus aux industries aéronautiques, aérospatiales et automobiles. Situé à Font-Romeu-Odeillo-Via, proche de Perpignan, il est perché à 1535 m d’altitude et bénéficie d’un ensoleillement exceptionnel.

Le principe utilisé est celui de la concentration des rayons par des miroirs réfléchissants. Il fonctionne avec deux jeux de miroirs différents, afin d’assurer les deux fonctions optiques nécessaires : la collecte (ou captation), puis la concentration de l’énergie solaire. Les rayons solaires sont d’abord réfléchis par une première série de miroirs orientables situés sur la pente (les héliostats), puis renvoyés vers une deuxième série de miroirs (les concentrateurs), disposés sur des paraboles qui les convergent vers une cible quasi circulaire au sommet d’une tour centrale. La tache solaire concentrée sur cette cible peut atteindre une densité de puissance correspondant à ‘plusieurs soleils’.

Remarque : Les 2 parties de cet énoncé peuvent être traitées de façon indépendante
Partie I : Température au foyer du Grand Four Solaire d’Odeillo
La lumière du Soleil est captée par Nh = 63 héliostats de Sh = 45 m2 chacun. Ils sont mobiles suivant deux axes pour suivre le mouvement apparent du Soleil tout en réfléchissant les rayons vers un grand miroir parabolique fixe, aussi appelé concentrateur. Les rayons réfléchis par les héliostats, parallèles à un axe Nord-Sud, éclairent toujours la même surface du concentrateur. Réfléchis une seconde fois par la parabole du concentrateur, ils viennent enfin se concentrer dans un foyer placé 18 m en avant où la tache lumineuse obtenue fait seulement d = 40 cm de diamètre. La réflectivité des miroirs constituant les héliostats et de la parabole est ρ = 70%. La densité de flux solaire reçue par un héliostat est de HS = 710 W.m-2. On donne σ = 5,67.10-8 W.m-2.K-4, la constante de Stefan-Boltzmann.
1-) Exprimer le flux thermique réfléchi par le champ d’héliostat en fonction de HS, ρ, Nh et Sh. Faire l’application numérique.
2-) Exprimer le flux thermique reçu au niveau du foyer. Faire l’application numérique.
3-) En considérant que le matériau placé au niveau du foyer rayonne comme un corps noir, déterminer l’expression de la température à la surface du corps TC. On donne SC = 0,15 m2, l’aire de la surface du matériau soumis au rayonnement. Précisez le nom de la loi utilisée.
Partie II – Équation différentielle vérifiée par la température d’un échantillon
Le bâtiment du CNRS abrite également d’autre système de concentration solaire plus petit, pour la caractérisation d’échantillons de faible dimension. Dans la suite de cet énoncé, nous considérons un échantillon de matériau soumis au rayonnement solaire concentré du petit four solaire. L’objectif est d’établir l’équation différentielle régissant la température de surface de l’échantillon considéré. On ne cherchera en aucun cas à la résoudre.
L’échantillon considéré est du carbure de silicium (SiC), matériau utilisé dans la fabrication des disques de frein en céramique des voitures de sport et certaines voitures hautes gammes.

L’échantillon reçoit une densité de flux solaire concentré φSC. L’aire de l’échantillon soumis à ce rayonnement est notée S. L’émissivité du SiC sur la plage de température [300K, 1500K] est décrite par :
ξ(TS) = 0,87 – 2,222.10-5(TS – 600)
L’échantillon est balayé par l’air possédant un coefficient de transfert convectif donné par :
h(TS,Tair) = 4,485(TS – Tair)0,25
On note Tair = 300 K, la température de l’atmosphère (air ambiant) et TS, la température de la surface de l’échantillon. On note ensuite, ξ l’émissivité de l’échantillon et C = Sh/S, le facteur de concentration, avec Sh l’aire de la surface de l’héliostat considéré dans cette partie. On note enfin, αS l’absorptivité solaire, c’est-à-dire l’absorptivité du matériau lorsqu’il est soumis au flux solaire incident. La densité de flux solaire reçue par l’héliostat est notée HS.
4-) En explicitant la loi utilisée, exprimer le flux perdu par convection, Փconv
5-) Rappeler la loi de Kirchhoff (relation entre émissivité et absorptivité pour un corps gris)
6-) Justifier que l’on puisse écrire la densité de flux solaire comme : φSC = HSC
7-) Exprimer le flux incident Փatm en provenance de l’atmosphère et arrivant sur l’échantillon
8.-) Exprimer Փabs, le flux total absorbé par l’échantillon en fonction de ξ, αS , C, S, Tair et HS
9-) Exprimer le flux émis Փemis par la surface de l’échantillon
10-) Réaliser le bilan radiatif de cet échantillon, c’est-à-dire : exprimer le flux radiatif net Փrad,net, en fonction des données de l’énoncé
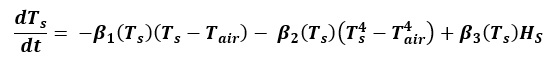
11-) En appliquant le premier principe de la thermodynamique à l’échantillon, déterminer l’équation différentielle régit par la température. Montrer alors qu’elle peut se mettre sous la forme suivante :

- Expliciter les expressions de β1, β2 et β3
12-) Calculer β1, β2 et β3 pour TS = 800 K
Données :

